Why Adopting 2GP is Crucial Right Now?
Table of Contents
Welcome to our comprehensive guide on why adopting 2GP is crucial right now! In this blog post, we delve into the pressing reasons why implementing Second-Generation Packaging (2GP) is paramount for organizations leveraging the Salesforce ecosystem. We explore the myriad benefits that 2GP offers over its predecessor, 1st Generation Packaging (1GP), and highlight how it empowers developers to streamline their packaging processes, optimize performance, and future-proof their applications.
Problem Statement
While Salesforce has not set a strict deadline, there’s a clear trajectory towards phasing out support for First-Generation Packaging (1GP) in favor of 2GP. Investing in 2GP now ensures your packaging strategy remains aligned with Salesforce’s evolving platform enhancements and avoids potential limitations associated with 1GP in the future.
What is Missing in 1GP?
Salesforce second generation packaging(2GP) addresses critical limitations of 1GP, offering enhanced modularity, precise dependency control, improved testing capabilities, and streamlined packaging workflows. These advancements streamline development, versioning, and deployment processes for apps and metadata.
Gaps Between First-Generation and Second-Generation Managed Packaging
While Second-Generation Packaging (2GP) significantly improves upon First-Generation Packaging (1GP), there are some notable feature gaps that Salesforce is actively addressing:
- Deprecating Package Versions: Unlike 1GP, 2GP does not support deprecating package versions directly, which impacts version management strategies and package lifecycle.
- Apex VersionProvider: The feature to specify Apex VersionProvider is not yet supported in 2GP, affecting how managed packages manage Apex versions and compatibility across releases.
- Default Language for Labels: In 1GP, it’s possible to specify a default language for labels within packages, a feature that is not available in 2GP yet, potentially affecting multi-language support strategies.
- API and Metadata Support: Some APIs and metadata types that were available in 1GP are either limited or not fully supported in 2GP. This can affect certain integrations and custom functionalities that rely heavily on these APIs.
- Partial Upgrade Paths: While 1GP allows partial upgrades where only certain components are updated, 2GP currently lacks this feature, requiring full package upgrades which can be cumbersome for large applications.
Salesforce continues to work on bridging these feature gaps to provide a more comprehensive solution with 2GP.
Key Considerations for Implementing 2GP in Salesforce
Implementing Second-Generation Packages (2GP) in Salesforce brings significant advantages across critical areas:
Critical Timeliness
Adopting 2GP offers several crucial benefits:
- 2GP facilitates faster time-to-market:
- Enables parallel development and streamlined packaging processes.
- Enhanced modularity and dependency management allow simultaneous work on different components, accelerating the release of new features and updates.
- Agile development with 2GP:
- Supports rapid iteration and responsiveness to changing business requirements or market demands.
- Crucial for maintaining competitiveness in dynamic industries.
- Improved version control and rollbacks:
- Provides robust version control and rollback capabilities, minimizing deployment risks and ensuring smoother release cycles.
- Reduces troubleshooting time and post-deployment issue resolution.
- Future-proofing your packaging strategy:
- Aligns with Salesforce’s long-term roadmap and upcoming platform enhancements.
- Mitigates the risk of obsolescence and minimizes disruptive migrations in the future.
Cost Efficiency
Adopting 2GP reduces overall costs:
- Initial migration and training costs are outweighed by long-term benefits.
- Streamlined development workflows reduce overall development overheads over time.
- Lower maintenance costs due to simplified updates and better dependency management and version control.
- Scalable architecture minimizes infrastructure investments as Salesforce applications grow.
Solution Overview
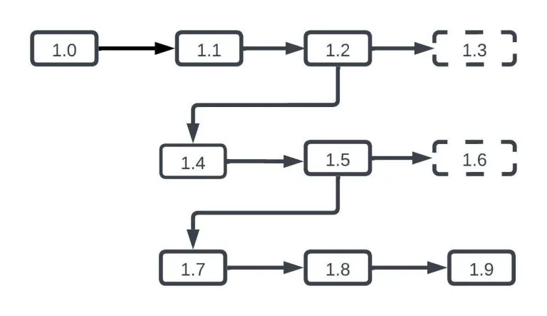
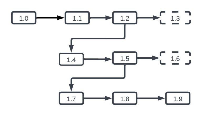
An illustration using version numbers highlights the benefits of ancestry in software development:
- Simplifies version management by grouping related versions together.
- Facilitates seamless rollback and iterative development processes.

Say your team creates version 1.0, 1.1, then 1.2, then 1.3 and oops! 1.3 made a mess of 1.2. Not a problem. When you create a new package version, you specify which package version is the ancestor. So you abandon 1.3, and make 1.2 the parent of 1.4. And this process can be repeated. For example, the illustration shows how to abandon 1.6, and build 1.7 off of 1.5.
By leveraging second generation packages salesforce (2GP), organizations can achieve significant improvements in efficiency, agility, and cost-effectiveness in their Salesforce development endeavors.
Conclusion
Adopting 2GP is crucial right now for organizations looking to optimize their Salesforce development processes. The enhanced features and future-proofing capabilities of 2GP offer significant advantages over 1GP, making it an essential upgrade for staying competitive and efficient in today’s fast-paced market.




